Guided Practice 6.2: A Different Kind of Tree
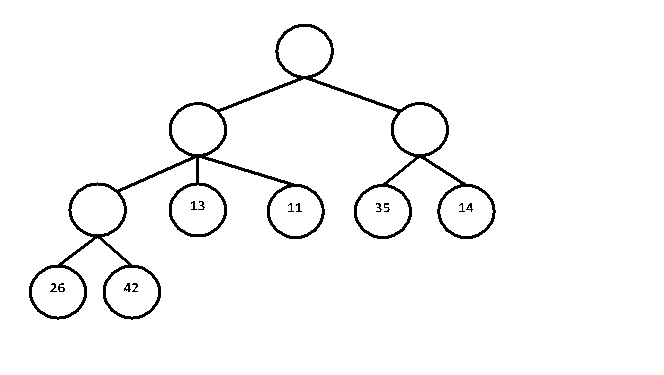
Consider a data structure of trees that have leaves with numbers in
them, and two kinds of interior nodes: one kind with two sons and the
other kind with three sons.  Here's an example: 
 
These trees are similar, but not identical to what are usually called
2-3 trees.
  - Write a data definition for these trees, including a template
  and a halting measure. 
- Write leaf-max for these trees.
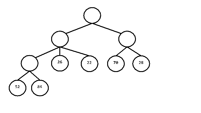
-  Write a function double-all that takes one of these
  trees and returns a tree of the same shape in which all the leaves
  are doubled.  For example, double-all applied to the tree above
  should return the tree
 
[ANSWER]
 (Remember, you won't get
anything about of this exercise unless you actually write the code and
test it.)
Last modified: Mon Sep  5 22:41:27 Eastern Daylight Time 2016